通知公告

通知公告

当前您的位置: 首页 > 通知公告 > 正文

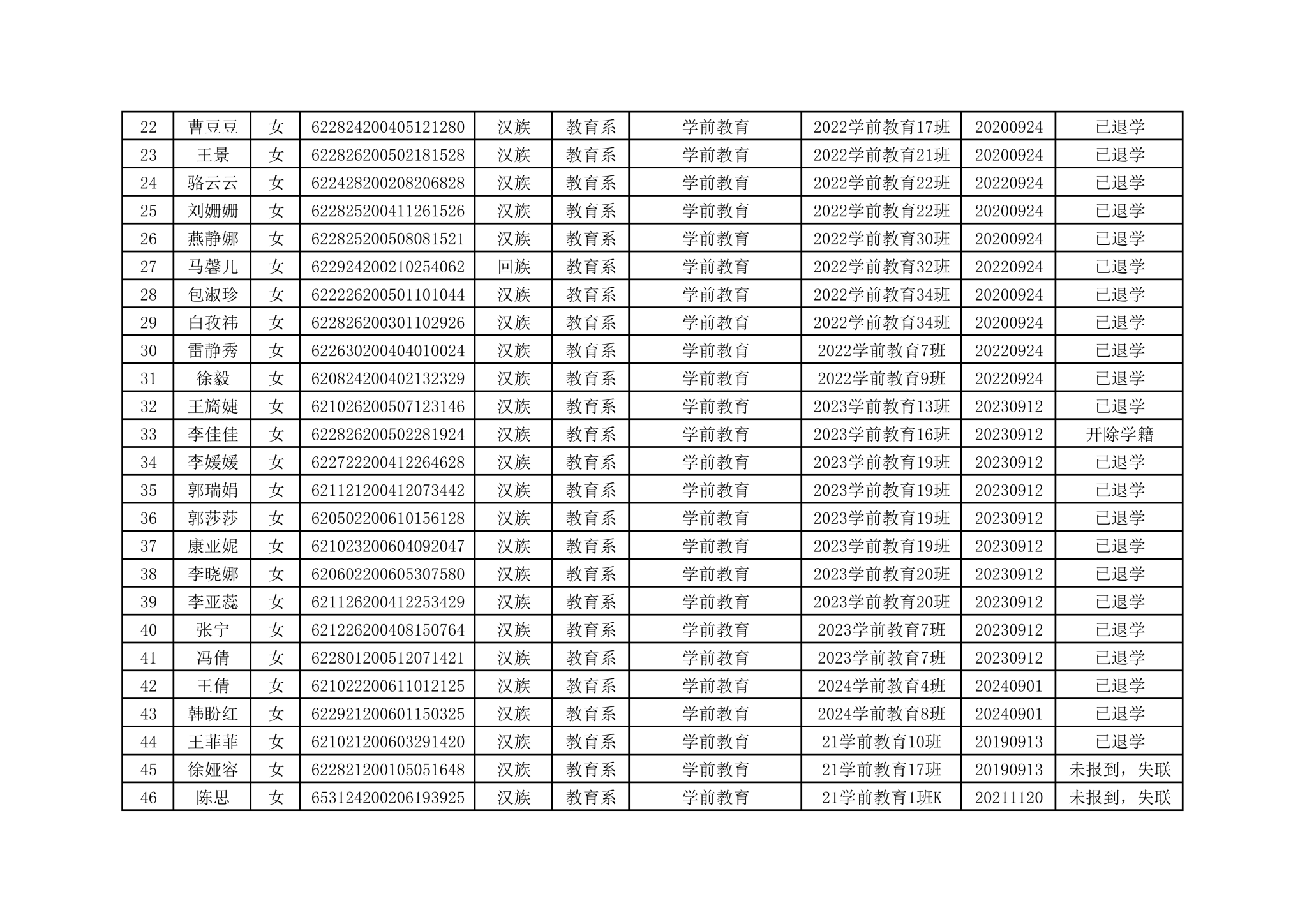
关于刘亚娜等60名学生学籍 清退的公示

时间:2025-11-14 来源: 作者: 审核: 编辑: 点击:

                                                                                                                                               

内容分享