学校主页
学院官网
首页
院系概况
院系简介
管理团队
专业建设
党团活动
基层党建
团学动态
教学动态
教学工作
学科竞赛
实训实践
招生就业
招生就业
校企合作
师生风采
名师风采
工匠摇篮
通知公告
学院官网
首页
院系概况
院系简介
管理团队
专业建设
党团活动
基层党建
团学动态
教学动态
教学工作
学科竞赛
实训实践
招生就业
招生就业
校企合作
师生风采
名师风采
工匠摇篮
×
工作动态
工作动态
工作动态
当前位置是:
首页
->
工作动态
->
正文
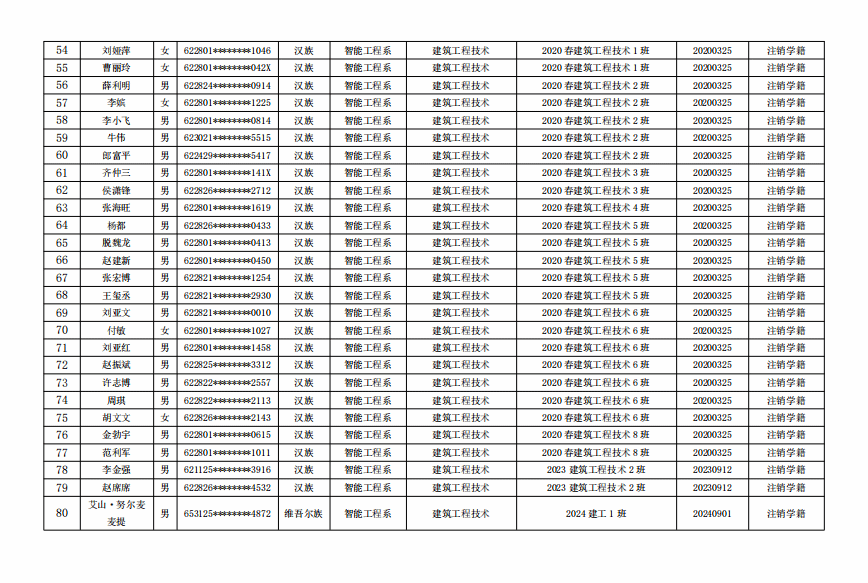
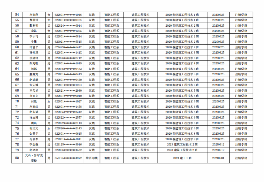
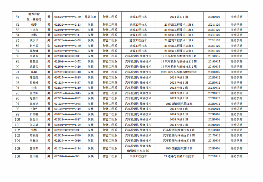
关于冯玉龙等106名学生学籍清退的公示
时间:2025-12-05
来源:
作者:智能工程系教学部
审核:智能工程系
编辑:智能工程系
点击:
附件【
学籍注销公示文件12.5.pdf
】已下载
次
上一篇:明确任务 凝心聚力
下一篇:凝心聚力启新程,齐心协力谱新篇
内容分享